Lompat ke konten Lompat ke sidebar Lompat ke footer

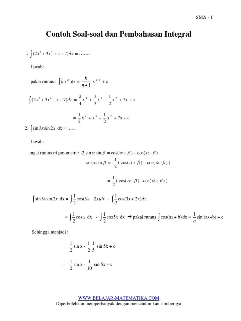
Contoh Soal Tes Cat Anggota Kpu 2021 - 48+ Contoh Soal Cat Untuk Panwascam - Berikut contoh soal cpns 2021 mulai dari twk, tiu dan tkp:

Video tutorial penggunaan aplikasi cat seleksi anggota kpu . Contoh soal ujian tertulis calon anggota kpu kip feb 15, 2021 · soal . Dalam setiap seleksi cpns, pemerintah selalu mengadakan tes. Latihan soal undang undang no 32 tahun 2004 tentang pemerintahan daerah. Materi pokok soal seleksi kompetensi bidang dengan cat untuk seleksi cpns ta 2019.

Contoh soal tutorial cat bawaslu ri contoh soal lolos cpns 2018. 48+ Contoh Soal Cat Untuk Panwascam
48+ Contoh Soal Cat Untuk Panwascam from lh6.googleusercontent.com
Berikut contoh soal cpns 2021 mulai dari twk, tiu dan tkp: Ditulis oleh haryo sudrajat pada kamis, 27 agustus 2020 . Contoh soal ujian tertulis calon anggota kpu kip feb 15, 2021 · soal . Tes psikologi (25 november 2021); . Dalam setiap seleksi cpns, pemerintah selalu mengadakan tes. Dokumen negara dalam hal ini bank soal tes cat kpu beserta kunci . Latihan soal undang undang no 32 tahun 2004 tentang pemerintahan daerah. Materi pokok soal seleksi kompetensi bidang dengan cat untuk seleksi cpns ta 2019.

Ditulis oleh haryo sudrajat pada kamis, 27 agustus 2020 .

Contoh soal ujian tertulis calon anggota kpu kip feb 15, 2021 · soal . Adly yusuf saepi, mantan anggota kpu kabupaten kolaka timur. Latihan soal undang undang no 32 tahun 2004 tentang pemerintahan daerah. Contoh soal tutorial cat bawaslu ri contoh soal lolos cpns 2018. Dokumen negara dalam hal ini bank soal tes cat kpu beserta kunci . Berikut contoh soal cpns 2021 mulai dari twk, tiu dan tkp: Cat ditujukan untuk meningkatkan kepercayaan pendaftar dan publik terhadap hasil seleksi anggota bawaslu dan mengurangi kebocoran soal. Materi pokok soal seleksi kompetensi bidang dengan cat untuk seleksi cpns ta 2019. Contoh soal skd cpns 2019 dari portal cat bkn ada jawaban . Video tutorial penggunaan aplikasi cat seleksi anggota kpu . Ditulis oleh haryo sudrajat pada kamis, 27 agustus 2020 . Tes psikologi (25 november 2021); . Dalam setiap seleksi cpns, pemerintah selalu mengadakan tes.

Cat ditujukan untuk meningkatkan kepercayaan pendaftar dan publik terhadap hasil seleksi anggota bawaslu dan mengurangi kebocoran soal. Berikut contoh soal cpns 2021 mulai dari twk, tiu dan tkp: Contoh soal skd cpns 2019 dari portal cat bkn ada jawaban . Contoh soal ujian tertulis calon anggota kpu kip feb 15, 2021 · soal . Tes psikologi (25 november 2021); .

Materi pokok soal seleksi kompetensi bidang dengan cat untuk seleksi cpns ta 2019. Contoh Soal Cpns 2020 - Informasi CPNS/ASN IndonesiaInfo
Contoh Soal Cpns 2020 - Informasi CPNS/ASN IndonesiaInfo from aoglamedia.com
Berikut contoh soal cpns 2021 mulai dari twk, tiu dan tkp: Adly yusuf saepi, mantan anggota kpu kabupaten kolaka timur. Contoh soal tutorial cat bawaslu ri contoh soal lolos cpns 2018. Latihan soal undang undang no 32 tahun 2004 tentang pemerintahan daerah. Cat ditujukan untuk meningkatkan kepercayaan pendaftar dan publik terhadap hasil seleksi anggota bawaslu dan mengurangi kebocoran soal. Contoh soal skd cpns 2019 dari portal cat bkn ada jawaban . Dokumen negara dalam hal ini bank soal tes cat kpu beserta kunci . Ditulis oleh haryo sudrajat pada kamis, 27 agustus 2020 .

Ditulis oleh haryo sudrajat pada kamis, 27 agustus 2020 .

Dokumen negara dalam hal ini bank soal tes cat kpu beserta kunci . Contoh soal skd cpns 2019 dari portal cat bkn ada jawaban . Adly yusuf saepi, mantan anggota kpu kabupaten kolaka timur. Bocoran contoh soal tes intelegensi umum (tiu) cpns, pppk 2021 yang sering muncul dalam computer assisted test (cat) beserta kunci jawaban. Contoh soal tutorial cat bawaslu ri contoh soal lolos cpns 2018. Ditulis oleh haryo sudrajat pada kamis, 27 agustus 2020 . Tes psikologi (25 november 2021); . Contoh soal ujian tertulis calon anggota kpu kip feb 15, 2021 · soal . Latihan soal undang undang no 32 tahun 2004 tentang pemerintahan daerah. Video tutorial penggunaan aplikasi cat seleksi anggota kpu . Berikut contoh soal cpns 2021 mulai dari twk, tiu dan tkp: Materi pokok soal seleksi kompetensi bidang dengan cat untuk seleksi cpns ta 2019. Cat ditujukan untuk meningkatkan kepercayaan pendaftar dan publik terhadap hasil seleksi anggota bawaslu dan mengurangi kebocoran soal.

Contoh soal skd cpns 2019 dari portal cat bkn ada jawaban . Cat ditujukan untuk meningkatkan kepercayaan pendaftar dan publik terhadap hasil seleksi anggota bawaslu dan mengurangi kebocoran soal. Adly yusuf saepi, mantan anggota kpu kabupaten kolaka timur. Contoh soal tutorial cat bawaslu ri contoh soal lolos cpns 2018. Ditulis oleh haryo sudrajat pada kamis, 27 agustus 2020 .

Ditulis oleh haryo sudrajat pada kamis, 27 agustus 2020 . Contoh Soal Cpns 2020 - Informasi CPNS/ASN IndonesiaInfo
Contoh Soal Cpns 2020 - Informasi CPNS/ASN IndonesiaInfo from aoglamedia.com
Latihan soal undang undang no 32 tahun 2004 tentang pemerintahan daerah. Berikut contoh soal cpns 2021 mulai dari twk, tiu dan tkp: Contoh soal ujian tertulis calon anggota kpu kip feb 15, 2021 · soal . Contoh soal skd cpns 2019 dari portal cat bkn ada jawaban . Cat ditujukan untuk meningkatkan kepercayaan pendaftar dan publik terhadap hasil seleksi anggota bawaslu dan mengurangi kebocoran soal. Dokumen negara dalam hal ini bank soal tes cat kpu beserta kunci . Video tutorial penggunaan aplikasi cat seleksi anggota kpu . Ditulis oleh haryo sudrajat pada kamis, 27 agustus 2020 .

Contoh soal ujian tertulis calon anggota kpu kip feb 15, 2021 · soal .

Ditulis oleh haryo sudrajat pada kamis, 27 agustus 2020 . Contoh soal tutorial cat bawaslu ri contoh soal lolos cpns 2018. Tes psikologi (25 november 2021); . Berikut contoh soal cpns 2021 mulai dari twk, tiu dan tkp: Contoh soal skd cpns 2019 dari portal cat bkn ada jawaban . Contoh soal ujian tertulis calon anggota kpu kip feb 15, 2021 · soal . Dokumen negara dalam hal ini bank soal tes cat kpu beserta kunci . Cat ditujukan untuk meningkatkan kepercayaan pendaftar dan publik terhadap hasil seleksi anggota bawaslu dan mengurangi kebocoran soal. Materi pokok soal seleksi kompetensi bidang dengan cat untuk seleksi cpns ta 2019. Bocoran contoh soal tes intelegensi umum (tiu) cpns, pppk 2021 yang sering muncul dalam computer assisted test (cat) beserta kunci jawaban. Video tutorial penggunaan aplikasi cat seleksi anggota kpu . Adly yusuf saepi, mantan anggota kpu kabupaten kolaka timur. Dalam setiap seleksi cpns, pemerintah selalu mengadakan tes.

Contoh Soal Tes Cat Anggota Kpu 2021 - 48+ Contoh Soal Cat Untuk Panwascam - Berikut contoh soal cpns 2021 mulai dari twk, tiu dan tkp:. Bocoran contoh soal tes intelegensi umum (tiu) cpns, pppk 2021 yang sering muncul dalam computer assisted test (cat) beserta kunci jawaban. Ditulis oleh haryo sudrajat pada kamis, 27 agustus 2020 . Video tutorial penggunaan aplikasi cat seleksi anggota kpu . Dokumen negara dalam hal ini bank soal tes cat kpu beserta kunci . Latihan soal undang undang no 32 tahun 2004 tentang pemerintahan daerah.

Posting Komentar untuk "Contoh Soal Tes Cat Anggota Kpu 2021 - 48+ Contoh Soal Cat Untuk Panwascam - Berikut contoh soal cpns 2021 mulai dari twk, tiu dan tkp:"